Message

Online Message

Name
Phone
Email
Company Name
Requirement
Submit

Media

Home Media Company News Jiaxing Huawen Chemical Co., Ltd. Soil Self monitoring Report

Jiaxing Huawen Chemical Co., Ltd. Soil Self monitoring Report

Release Date:2023-12-01

202312011504.jpg

202312011177.jpg

202312016631.png

202312012099.png

202312011689.png

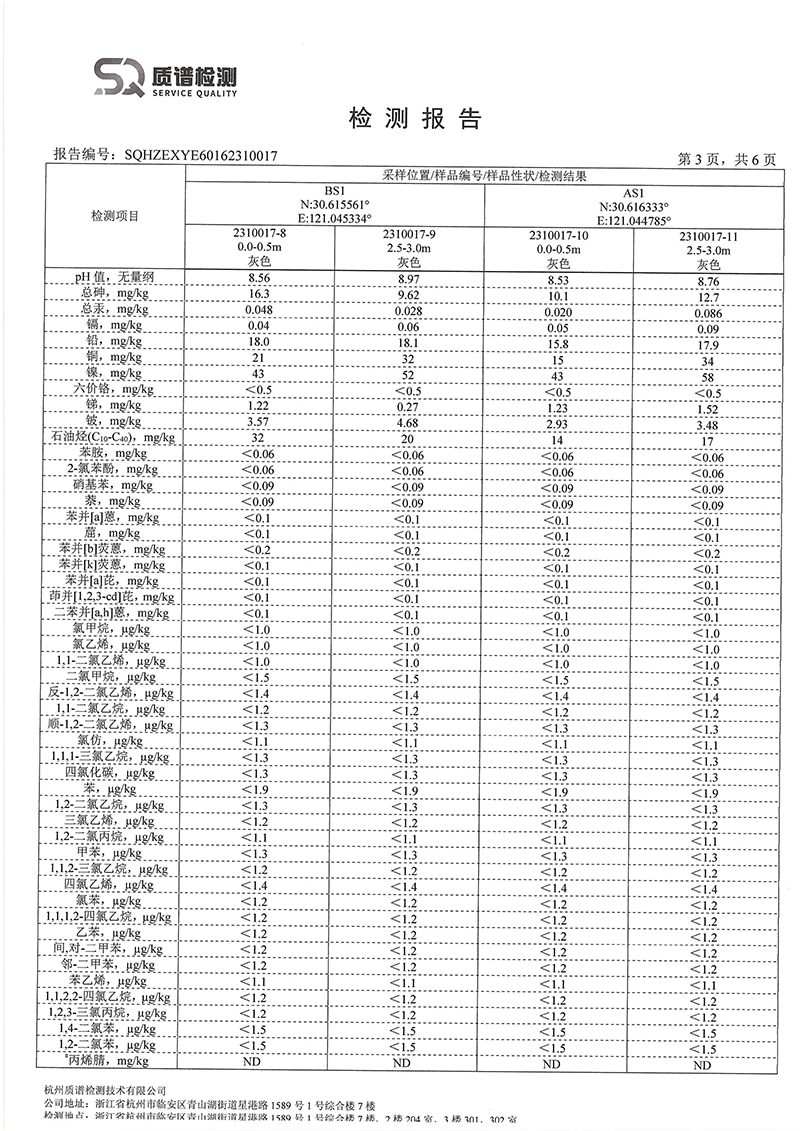
202312016040.png

202312011278.jpg

202312011528.jpg


嘉兴华雯化工股份有限公司土壤自行监测报告.pdf