嘉兴华雯化工股份有限公司年产10000吨环保型功能高分子材料及年产1000吨特殊SMA功能树脂改扩建项目

在聚合物工程的尖端领域,选择合适的聚烯烃接枝马来酸酐 (POE-MAH) 用于尼龙增韧是一个复杂的过程,需要透彻了解材料的特性和具体的应用要求。本文旨在对选择合适的 POE-MAH 时需要考虑的因素进行全面而专业的研究,以便读者能够清晰地了解该主题。

相容性和分散性的价值
宏观相容、微观不相容应是优质尼龙增韧剂的理想特性。这句看似矛盾的话,却抓住了增韧过程中达到理想平衡的核心。微观不相容性对于产生所需的相分离至关重要,从而形成海岛结构,而海岛结构对于提高材料的韧性和抗冲击性至关重要;而宏观相容性则保证了增韧剂与尼龙基体良好地融合。
选择合适的马来酸酐接枝聚烯烃弹性体 (POE)
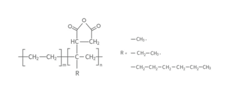
选择过程始于确定最佳的尼龙增韧剂。在主要的尼龙增韧剂类型中,马来酸酐接枝聚烯烃弹性体 (POE) 尤为突出。在特定条件下,将极性基团马来酸酐连接到聚烯烃弹性体 (POE) 上,通过接枝过程提高其与尼龙的相容性。
附件下载:
嘉兴华雯化工股份有限公司年产10000吨环保型功能高分子材料及年产1000吨特殊SMA功能树脂改扩建项目-公示稿.pdf